Standard Reduction Potential Table

Standard Reduction Potential Table. (redirected from standard reduction potential). Standard electrode potentials in aqueous solution at 25°c.

Http Barbara Cm Utexas Edu Courses Ch302s08 Files Dvb031808a4 Pdf
Http Barbara Cm Utexas Edu Courses Ch302s08 Files Dvb031808a4 Pdf from
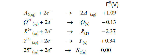
This means for every 1 coulomb of electrons (~6.24x10^18 electrons) runs from h2/h+ compartment to the fe3+/fe2+ compartment, 0.52 joules of energy is putted out for us to do useful work. Cell potentials from standard reduction potentials. Standard reduction potentials at 25oc*. The table of standard redox potentials for total and inorganic chemistry contains: These are standard state values.

(redirected from standard reduction potential).

Cell potentials from standard reduction potentials. Standard reduction potentials are very useful in chemistry. The table of standard redox potentials for total and inorganic chemistry contains: This periodic table page contains periodicity information for. This means that li would be written as the. The standard cell potential is the potential difference between the cathode and anode. Standard electrode potentials in aqueous solution at 25°c. According to the standard reduction potential table, which of the following sets of metals cannot be oxidised by indium ion, in3+, under standard conditions. Table 1 from absolute standard hydrogen electrode potential. Experiment 8 establishing a table of reduction potentials. How to use a table of standard reduction potentials to calculate standard cell potential.

Thank you for reading about Standard Reduction Potential Table, I hope this article is useful. For more useful information about home design visit https://homebuildinginspiration.com/


Next Post Previous Post
No Comment
Add Comment
comment url